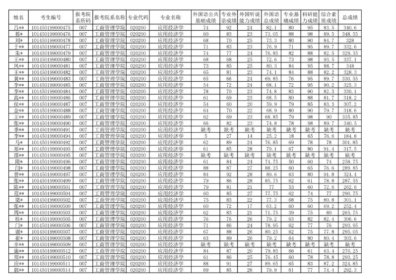
各位考生:
我院2020年博士申请考核和硕博连读考核成绩现已发布,请查看下方文件。
对成绩有异议的考生可在3个工作日内申请成绩复核。具体程序为:本人填写成绩复核申请,并提交身份证明,交由工商管理学院教学科研办公室(浑南校区文管学馆B310)或发送邮件至xujing@mail.neu.edu.cn。
拟录取公告另行发布。



发布时间:2019-12-27浏览次数:6809
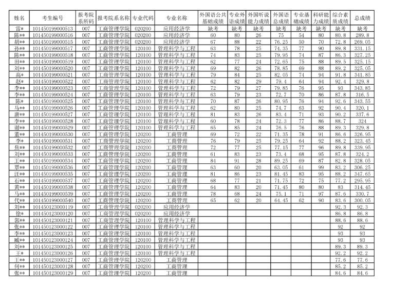
各位考生:
我院2020年博士申请考核和硕博连读考核成绩现已发布,请查看下方文件。
对成绩有异议的考生可在3个工作日内申请成绩复核。具体程序为:本人填写成绩复核申请,并提交身份证明,交由工商管理学院教学科研办公室(浑南校区文管学馆B310)或发送邮件至xujing@mail.neu.edu.cn。
拟录取公告另行发布。

